时间复杂度特集
定义法计算时间复杂度
单层循环
O(n)
- 求和符号下面的是i能够取到的值域的集合,前面的1指的是每一次循环进来以后每个基本语句都会执行一次
O(logn)
线性变化嵌套循环
- 从左到右,从外层循环到内层循环写求和公式
- 解的时候从里向外解
内外变量互不干扰
内层循环取决于外层变量
指数变化嵌套循环
- 从外层循环向内层循环去写,最里面是核心语句
- 解的时候从内向外解
外层线性变化,内层指数变化,外层限制内层
- 对内层循环变量j来讲,它是每执行一次,然后进行判断,当它自增一次的时候,count++已经执行了两次
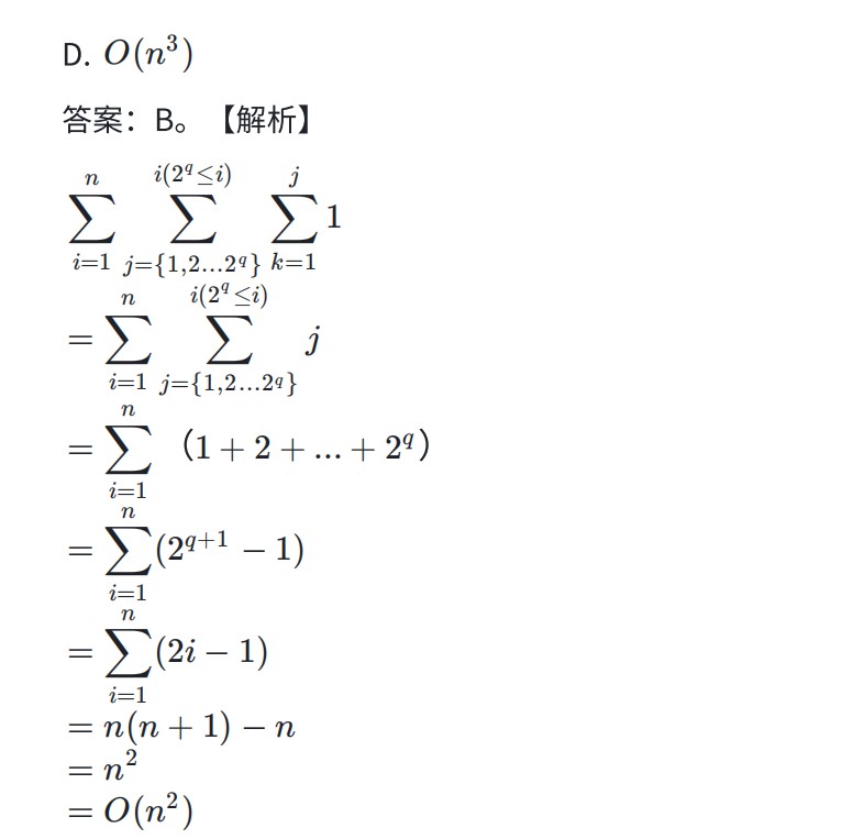
外层指数变化,内层线性变化,外层限制内层
三重循环
线性变化,外层限制内层
个人总结——时间复杂度计算
内外嵌套变量关系循环
- 内外嵌套,写级数
- 最内层为单次的循环个数,求和符号上方写范围,下方写取值集合
函数调用类
- 递归树
主定理
重点比较
408图论算法复杂度+适用场景(含负权边/负环)
| 算法 / 存储结构 | 时间复杂度 | 空间复杂度 | 适用场景 | 说明 |
|---|---|---|---|---|
| 邻接矩阵 | —— | O(V²) | 稠密图 | 查询边是否存在快 O(1),遍历慢 O(V) |
| 邻接表 | —— | O(V+E) | 稀疏图 | 遍历快 O(V+E),查询边是否存在慢 O(deg(v)) |
| 十字链表(有向图) | —— | O(V+E) | 需要同时高效处理出度和入度的有向图 | 每条边存两次引用 |
| 邻接多重表(无向图) | —— | O(V+E) | 需要避免无向边重复存储 | 每条边只存一次结点 |
| DFS(邻接表) | O(V+E) | O(V+E) | 遍历所有顶点与边;拓扑排序;连通分量;检测环 | 深度优先搜索 |
| DFS(邻接矩阵) | O(V²) | O(V²) | 小规模稠密图遍历 | 遍历邻接点需扫一行 |
| BFS(邻接表) | O(V+E) | O(V+E) | 无权图最短路径;分层遍历;连通分量 | 队列实现、广度优先搜索 |
| BFS(邻接矩阵) | O(V²) | O(V²) | 小规模稠密图遍历 | |
| 拓扑排序(邻接表) | O(V+E) | O(V+E) | DAG 的线性序;任务调度;编译依赖 | 常用 Kahn 算法(队列)或 DFS |
| 拓扑排序(邻接矩阵) | O(V²) | O(V²) | 小规模稠密图 | 每次找入度=0 需扫一列 |
| Prim 算法(朴素版,邻接矩阵) | O(V²) | O(V²) | 稠密图最小生成树 | 每次扫描所有顶点选最小边 |
| Prim 算法(堆优化版,邻接表) | O(E log V) | O(V+E) | 稀疏图最小生成树 | 用优先队列维护候选边 |
| Kruskal 算法 | O(E log E)≈O(E log V) | O(V+E) | 稀疏图最小生成树 | 边排序 + 并查集 |
| Dijkstra(朴素版,邻接矩阵) | O(V²) | O(V²) | 稠密图,单源最短路径(不允许负权边) | 每次找最近点 O(V) |
| Dijkstra(堆优化,邻接表) | O(E log V) | O(V+E) | 稀疏图,单源最短路径(不允许负权边) | 用堆维护最短距离 |
| Floyd 算法 | O(V³) | O(V²) | 多源最短路径,小规模稠密图,允许负权边;可检测负环(dist[i][i]<0) |
若有负环则无解 |
| Bellman-Ford 算法 | O(VE) | O(V+E) | 单源最短路径,允许负权边;可检测负环(松弛 V 次后仍变化) | 若有负环则无解 |
| SPFA 算法 | 平均 O(E),最坏 O(VE) | O(V+E) | 单源最短路径,允许负权边;可检测负环(某点入队 ≥ V 次) | 若有负环则无解 |
| 三元组表(边集数组) | —— | O(E) | 适合稀疏图;常用于 Bellman-Ford、Kruskal、SPFA | 每条边存 (i,j,w),遍历邻接点效率低 |
并查集三个阶段的时间复杂度
查找算法时间复杂度表
排序算法时间复杂度表
| 排序算法 | 平均时间复杂度 | 最好时间复杂度 | 最坏时间复杂度 | 空间复杂度 | 稳定性 | 就地性 | 适用数据对象 | 比较次数与初始状态关系 | 移动次数与初始状态关系 | 排序趟数与初始状态关系 |
|---|---|---|---|---|---|---|---|---|---|---|
| 插入排序 | O(n²) | O(n) | O(n²) | O(1) | ✔ 稳定 | 原地 | 数组/链表 | 有关 | 有关 | 无关 |
| 折半插入 | O(n²) | O(nlogn) | O(n²) | O(1) | ✔ 稳定 | 原地 | 数组 | 无关 | 有关 | 无关 |
| 希尔排序 | O(n^1.3) | O(n log n) | O(n²) | O(1) | ✘ 不稳定 | 原地 | 数组 | 有关 | 有关 | 无关 |
| 冒泡排序 | O(n²) | O(n) | O(n²) | O(1) | ✔ 稳定 | 原地 | 数组/链表 | 有关 | 有关 | 有关 |
| 快速排序 | O(n log n) | O(n log n) | O(n²) | O(log n) | ✘ 不稳定 | 原地 | 数组 | 有关 | 有关 | 有关 |
| 选择排序 | O(n²) | O(n²) | O(n²) | O(1) | ✘ 不稳定 | 原地 | 数组/链表 | 无关 | 有关 | 无关 |
| 堆排序 | O(n log n) | O(n log n) | O(n log n) | O(1) | ✘ 不稳定 | 原地 | 数组 | 有关 | 有关 | 无关 |
| 归并排序 | O(n log n) | O(n log n) | O(n log n) | O(n) | ✔ 稳定 | 非原地 | 数组/链表 | 有关 | 无关 | 无关 |
| 计数排序 | O(n+k) | O(n+k) | O(n+k) | O(n+k) | ✔ 稳定 | 非原地 | 数组 | 无关 | 无关 | 无关 |
| 基数排序 | O(d(n+r)) | O(d(n+r)) | O(d(n+r))顺序基数排序O(n + r) 链式基数排序O® |
✔ 稳定 | 非原地 | 数组 | 无关 | 无关 | 无关 | |
| 桶排序 | O(n+k) | O(n+k) | O(n²) | O(n+k) | ✔ 稳定 | 非原地 | 数组 | 无关 | 无关 | 无关 |
时间复杂度特集
http://example.com/2025/04/02/时间复杂度特集/
.jpg)



















